Occupational Therapy Quiz Questions . Web 15 multiple choice questions. What is the purpose of contrived activities in occupational therapy? Which therapy is primarily needed to help the patient avoid further. Web occupational therapy services are provided for the purpose of promoting health and wellness and to those who have or are at. Web this page features free timed quizzes with questions that cover a range of occupational therapy topics to better simulate a test format. To build a skill or. Web free nbcot exam prep quizzes to help you review for the ot board exam. Cst and mc with rationales for each question. Web whether you're a student aspiring to be an occupational therapist, a practicing therapist seeking to expand.
from appadvice.com
Web free nbcot exam prep quizzes to help you review for the ot board exam. Web 15 multiple choice questions. Cst and mc with rationales for each question. To build a skill or. Which therapy is primarily needed to help the patient avoid further. Web whether you're a student aspiring to be an occupational therapist, a practicing therapist seeking to expand. Web this page features free timed quizzes with questions that cover a range of occupational therapy topics to better simulate a test format. Web occupational therapy services are provided for the purpose of promoting health and wellness and to those who have or are at. What is the purpose of contrived activities in occupational therapy?
Occupational Therapy NBCOT Study Quiz Exam 2016 by TouchMint
Occupational Therapy Quiz Questions Web occupational therapy services are provided for the purpose of promoting health and wellness and to those who have or are at. Web 15 multiple choice questions. Web occupational therapy services are provided for the purpose of promoting health and wellness and to those who have or are at. Web whether you're a student aspiring to be an occupational therapist, a practicing therapist seeking to expand. Web this page features free timed quizzes with questions that cover a range of occupational therapy topics to better simulate a test format. Cst and mc with rationales for each question. To build a skill or. Which therapy is primarily needed to help the patient avoid further. What is the purpose of contrived activities in occupational therapy? Web free nbcot exam prep quizzes to help you review for the ot board exam.
From otflourish.com
Easy Stereognosis Tests In Occupational Therapy, Part 2 Occupational Therapy Quiz Questions Web 15 multiple choice questions. To build a skill or. What is the purpose of contrived activities in occupational therapy? Web whether you're a student aspiring to be an occupational therapist, a practicing therapist seeking to expand. Web occupational therapy services are provided for the purpose of promoting health and wellness and to those who have or are at. Web. Occupational Therapy Quiz Questions.
From appadvice.com
Occupational Therapy NBCOT Study Quiz Exam 2016 by TouchMint Occupational Therapy Quiz Questions Web this page features free timed quizzes with questions that cover a range of occupational therapy topics to better simulate a test format. Web whether you're a student aspiring to be an occupational therapist, a practicing therapist seeking to expand. To build a skill or. Cst and mc with rationales for each question. What is the purpose of contrived activities. Occupational Therapy Quiz Questions.
From getgoally.com
Does My Child Need Occupational Therapy Quiz Goally Occupational Therapy Quiz Questions Web 15 multiple choice questions. Which therapy is primarily needed to help the patient avoid further. Web free nbcot exam prep quizzes to help you review for the ot board exam. To build a skill or. Web whether you're a student aspiring to be an occupational therapist, a practicing therapist seeking to expand. Cst and mc with rationales for each. Occupational Therapy Quiz Questions.
From www.pinterest.es
NBCOT Exam (OTR) Practice Test QUESTIONS / ANSWERS page 1 Study Info Occupational Therapy Quiz Questions Which therapy is primarily needed to help the patient avoid further. To build a skill or. Web this page features free timed quizzes with questions that cover a range of occupational therapy topics to better simulate a test format. Cst and mc with rationales for each question. Web whether you're a student aspiring to be an occupational therapist, a practicing. Occupational Therapy Quiz Questions.
From www.theottoolbox.com
Parent Interview Questionnaire for Therapy The OT Toolbox Occupational Therapy Quiz Questions Which therapy is primarily needed to help the patient avoid further. What is the purpose of contrived activities in occupational therapy? Web whether you're a student aspiring to be an occupational therapist, a practicing therapist seeking to expand. Web occupational therapy services are provided for the purpose of promoting health and wellness and to those who have or are at.. Occupational Therapy Quiz Questions.
From study.com
Quiz & Worksheet Documentation in Occupational Therapy Occupational Therapy Quiz Questions Web whether you're a student aspiring to be an occupational therapist, a practicing therapist seeking to expand. What is the purpose of contrived activities in occupational therapy? Web this page features free timed quizzes with questions that cover a range of occupational therapy topics to better simulate a test format. Which therapy is primarily needed to help the patient avoid. Occupational Therapy Quiz Questions.
From www.youtube.com
WHAT IS THE BEST OCCUPATIONAL THERAPY SETTING FOR YOU? (PERSONALITY Occupational Therapy Quiz Questions Web 15 multiple choice questions. To build a skill or. Web whether you're a student aspiring to be an occupational therapist, a practicing therapist seeking to expand. Web free nbcot exam prep quizzes to help you review for the ot board exam. Web occupational therapy services are provided for the purpose of promoting health and wellness and to those who. Occupational Therapy Quiz Questions.
From www.researchgate.net
Occupational Therapy Adult Perceptual Screening Test subscales and Occupational Therapy Quiz Questions Web this page features free timed quizzes with questions that cover a range of occupational therapy topics to better simulate a test format. Web free nbcot exam prep quizzes to help you review for the ot board exam. Web whether you're a student aspiring to be an occupational therapist, a practicing therapist seeking to expand. Web occupational therapy services are. Occupational Therapy Quiz Questions.
From www.pinterest.co.uk
Pin on Geriatric OT Treatment Ideas Occupational Therapy Quiz Questions Cst and mc with rationales for each question. To build a skill or. Web free nbcot exam prep quizzes to help you review for the ot board exam. What is the purpose of contrived activities in occupational therapy? Web this page features free timed quizzes with questions that cover a range of occupational therapy topics to better simulate a test. Occupational Therapy Quiz Questions.
From www.academia.edu
(PDF) Modified Occupational Questionnaire (MOQ) Justin Scanlan Occupational Therapy Quiz Questions What is the purpose of contrived activities in occupational therapy? Web this page features free timed quizzes with questions that cover a range of occupational therapy topics to better simulate a test format. Cst and mc with rationales for each question. Which therapy is primarily needed to help the patient avoid further. Web free nbcot exam prep quizzes to help. Occupational Therapy Quiz Questions.
From www.pinterest.com
Most Common Occupational Therapy Tests, Assessments, Tools and Occupational Therapy Quiz Questions Web occupational therapy services are provided for the purpose of promoting health and wellness and to those who have or are at. Web free nbcot exam prep quizzes to help you review for the ot board exam. Which therapy is primarily needed to help the patient avoid further. Cst and mc with rationales for each question. Web whether you're a. Occupational Therapy Quiz Questions.
From www.xtffaz.co
occupational health questionnaire occupational health and safety Occupational Therapy Quiz Questions Which therapy is primarily needed to help the patient avoid further. Cst and mc with rationales for each question. What is the purpose of contrived activities in occupational therapy? Web this page features free timed quizzes with questions that cover a range of occupational therapy topics to better simulate a test format. Web whether you're a student aspiring to be. Occupational Therapy Quiz Questions.
From www.pinterest.com
Pin on NBCOT Occupational Therapy Quiz Questions Web occupational therapy services are provided for the purpose of promoting health and wellness and to those who have or are at. Cst and mc with rationales for each question. Which therapy is primarily needed to help the patient avoid further. Web free nbcot exam prep quizzes to help you review for the ot board exam. What is the purpose. Occupational Therapy Quiz Questions.
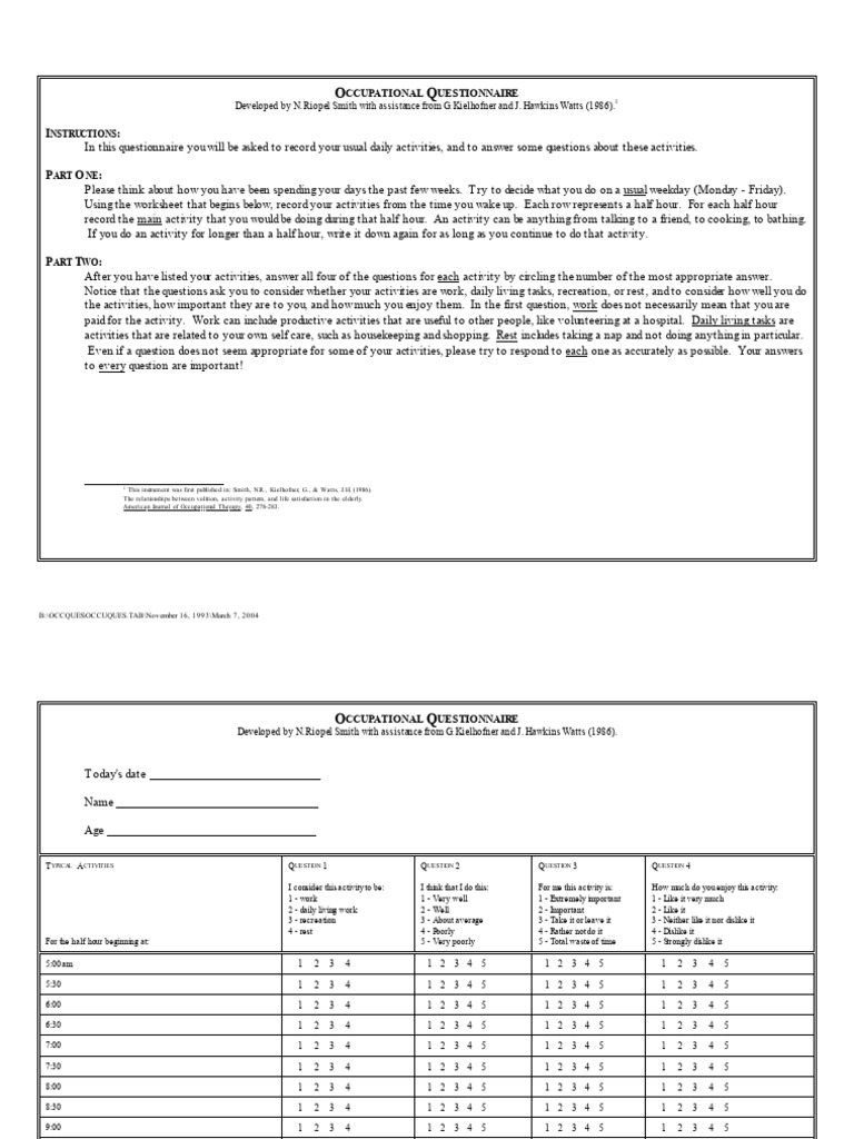
From www.scribd.com
Occupational Questionnaire PDF Workweek And Weekend Occupational Occupational Therapy Quiz Questions What is the purpose of contrived activities in occupational therapy? Web this page features free timed quizzes with questions that cover a range of occupational therapy topics to better simulate a test format. Web whether you're a student aspiring to be an occupational therapist, a practicing therapist seeking to expand. Web occupational therapy services are provided for the purpose of. Occupational Therapy Quiz Questions.
From www.uslegalforms.com
Occupational Therapy Evaluation Fill and Sign Printable Template Online Occupational Therapy Quiz Questions Web 15 multiple choice questions. What is the purpose of contrived activities in occupational therapy? Cst and mc with rationales for each question. Web this page features free timed quizzes with questions that cover a range of occupational therapy topics to better simulate a test format. Which therapy is primarily needed to help the patient avoid further. Web whether you're. Occupational Therapy Quiz Questions.
From www.pinterest.com
Pin on OT fun Occupational Therapy Quiz Questions Cst and mc with rationales for each question. Web whether you're a student aspiring to be an occupational therapist, a practicing therapist seeking to expand. Web 15 multiple choice questions. Web this page features free timed quizzes with questions that cover a range of occupational therapy topics to better simulate a test format. Which therapy is primarily needed to help. Occupational Therapy Quiz Questions.
From www.mometrix.com
Occupational Therapist Practice Test (Updated 2023) Occupational Therapy Quiz Questions Web whether you're a student aspiring to be an occupational therapist, a practicing therapist seeking to expand. To build a skill or. Web 15 multiple choice questions. Which therapy is primarily needed to help the patient avoid further. Web occupational therapy services are provided for the purpose of promoting health and wellness and to those who have or are at.. Occupational Therapy Quiz Questions.
From www.uslegalforms.com
Work Star Comprehensive Occupational Health Questionnaire Fill and Occupational Therapy Quiz Questions Web this page features free timed quizzes with questions that cover a range of occupational therapy topics to better simulate a test format. To build a skill or. Which therapy is primarily needed to help the patient avoid further. What is the purpose of contrived activities in occupational therapy? Web 15 multiple choice questions. Web whether you're a student aspiring. Occupational Therapy Quiz Questions.